|
||
全部產品分類
|
||
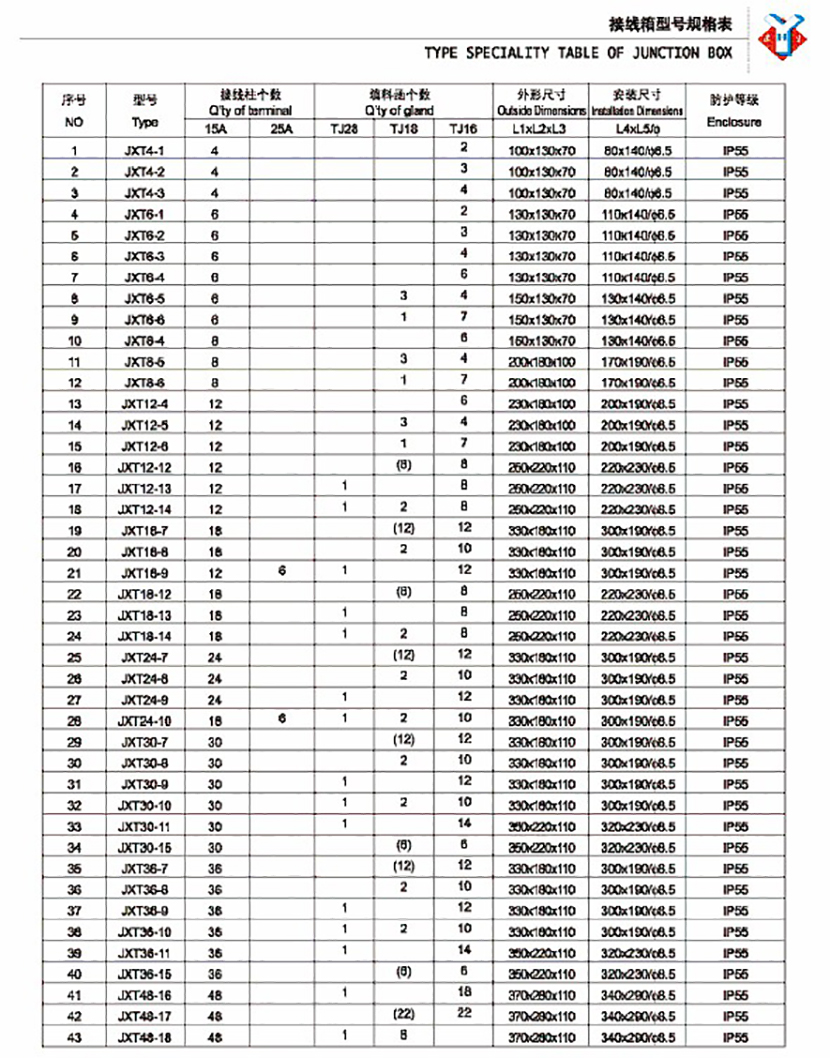
| 艦船用接線箱 | |||
| 接線柱個數: | 8 | 填料函個數: | TJ16/4 |
| 外形尺寸: | 200x180x100 | 安裝尺寸: | 170x190/φ6.5 |
| 防護等級: | IP55 | ||


| -供應商聯系方式- | |||||
|
|
公司名稱: | 滬樂電氣設備制造有限公司 |
|
聯系人姓名: | |
| 公司地址: | 上海市松江車墩鎮車涇路130號 | 聯系人電話: | +86-21-37601083 | ||
| 聯系人郵箱: | hulegroup@163.com | ||||